养老是每一个人都会遇到的问题。
高的长寿风险、低的社保养老金替代率、稀缺的优质养老社区等等成为热词,受到不少人讨论。
通过养老保险锁定高品质养老,光明一生慧选版年金险附带养老社区入住权益,又有可万能账户加持收益,相当不错。
一、光明一生慧选版年金险保障怎么样?
奶爸已经将光明一生慧选版年金险的保障内容表格做好了:

光明一生慧选版年金险投保门槛宽松,限制少。5000元起投,起投门槛不算高。
可选缴费年限多,趸/3/5/10/15/20/30年交。
而且支持年领/月领,可以灵活选择。
可关联光大永明的万能账户,保底利率是3%,现行利率是4.85%
保证领取20年,保证领取期间有现金价值,可选择定期或终身,支持加减保和减额交清。
光明一生慧选版年金险资金调配更灵活,可选定期和终身两种领取方式。
可选保定期,生存IRR和身故IRR高一些,属于养老年金第一梯队,预定利率是3.5%
80岁时的IRR就达到3.72%,其他大多养老年金产品很难达到这个水平。
关联的万能账户最低保证利率是3%
总保费满足一定条件,还可以入光大养老社区:
单张保单总保费≥30万,旅居
单张保单总保费≥70万,长居
单张保单总保费≥100万,长居+旅居
优质养老社区权益,却拥有低门槛的条件,例如选择6万5年交即可锁定旅居版的养老社区权益~
二、光明一生慧选版年金险利益演示
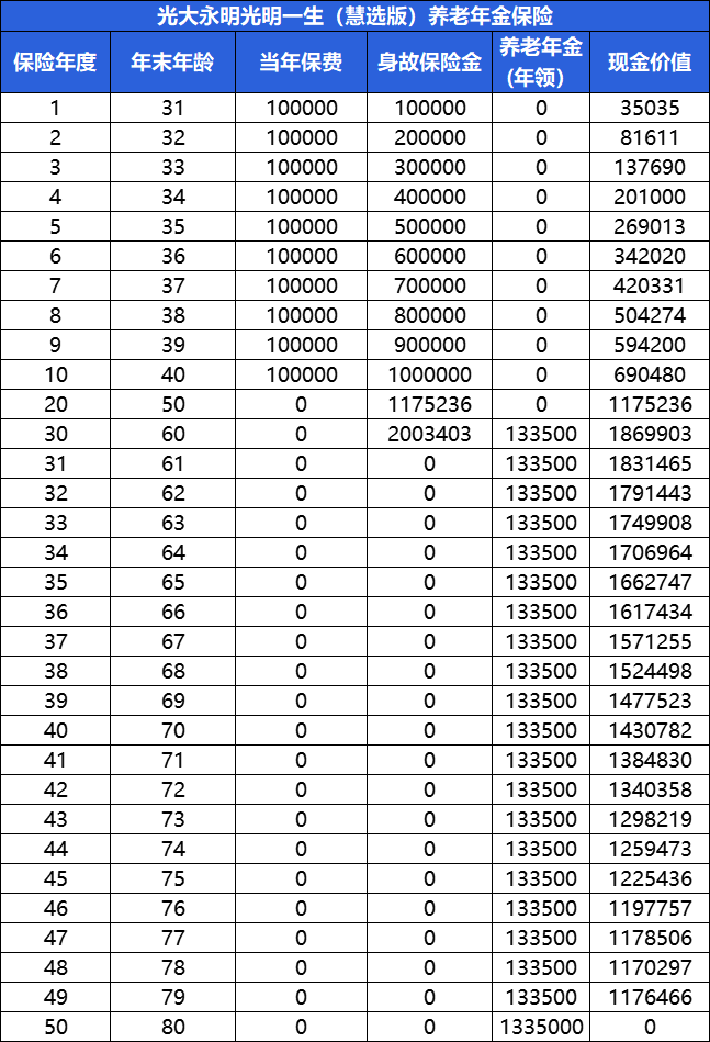
实例:光先生30岁,光明一生慧选版年金险不关联万能账户,年交保费10万元,缴费期是10年,领取方式为年领,60岁起领。
计划一:定期领取利益演示
30岁的光先生,选定期领取,从首个领取日开始,第30个保单年度,可以连续领取20年,每年领133500
保障期满,可以一次性领取10倍基本保额1335000,相当于一次性领取10年的养老金,累积可领取4005000,是累计已交保费的4倍。
计划二:终身领取利益演示
30岁的光先生,选终身领取,从首个领取日开始,第30个保单年度,可以连续领取20年。
每年领139900,可领取至106岁,累积最高可领取6575300,IRR可达4.27%,是累计已交保费的6.57倍
光先生总保费达到100万,满足光大养老社区的旅居+长居计划,可以享受旅居的居住权益。
在60岁退休,游历祖国山水,到80岁时,也可以直接使用长居的居住权益,提前锁定高品质养老权益。
三、奶爸总结
光明一生慧选版年金险不仅有稳定的高增长现金流流入,还拥有低门槛的养老社区权益,还可以用万能账户对养老金进行保值增值,无论是应对养老还是作为财富传承,都是不错的养老选择~
微信扫一扫
微信扫一扫
关注微信
客服热线
奶爸保

